Estados cuánticos y notación bra-ket

¿Qué es realmente un estado cuántico?
Una explicación clara de cómo se describen los qubits y por qué la notación bra-ket es esencial en computación cuántica.

Estados cuánticos y notación bra-ket

Tabla de contenidos

Cómo se describen los qubits y por qué se usa una notación tan extraña

Cuando alguien se acerca por primera vez a la computación cuántica, suele chocar con lo mismo: símbolos raros, letras entre barras, signos que parecen sacados de un libro de otro planeta. Y la reacción es bastante lógica: ¿de verdad hace falta todo esto?

La respuesta corta es . La respuesta importante es sí, pero no por el motivo que suele imaginarse.

La notación cuántica no existe para complicar las cosas ni para hacer la disciplina más “exclusiva”. Existe porque los qubits no se comportan como los bits clásicos, y describirlos con las herramientas habituales no alcanza.

El problema: describir algo que no está definido del todo

Un bit clásico es sencillo de describir: en cada instante está en 0 o en 1. No hay más opciones.

Un qubit, en cambio, antes de medirlo no está en uno de esos valores de forma definitiva. Está en un estado que contiene todas las posibilidades relevantes a la vez, junto con información sobre cómo se relacionan entre sí.

Eso plantea un problema muy concreto: ¿cómo describimos algo que no es “esto o aquello”, sino una combinación bien definida de posibilidades?

El lenguaje habitual de la informática no sirve para eso. Tampoco basta con decir “50 % de 0 y 50 % de 1”, porque ese tipo de frase pierde información esencial sobre el estado.

Describir el estado, no el resultado

Aquí aparece la primera diferencia fundamental:

  • En computación clásica solemos describir resultados.
  • En computación cuántica necesitamos describir estados.

Un estado cuántico no nos dice qué vamos a obtener al medir, sino cómo se comporta el sistema antes de medir. Es decir: qué posibilidades existen, cómo se combinan y cómo pueden cambiar si aplicamos una operación.

La notación cuántica nace para capturar todo eso de forma precisa.

¿Por qué una notación nueva y no palabras normales?

Podríamos intentar describir un qubit con frases largas, pero sería poco práctico y ambiguo. En física (como en matemáticas) se busca justo lo contrario: un lenguaje compacto, exacto y sin dobles interpretaciones.

La llamada notación de Dirac (esa de barras verticales y símbolos angulares) es simplemente una forma elegante de decir: “Este es el estado completo del sistema cuántico.”

Cuando ves algo como |ψ⟩, no estás viendo un conjuro ni una fórmula misteriosa. Estás viendo una etiqueta que significa: “El estado actual del qubit, con toda la información que importa.”

Nada más. Nada menos.

Entonces, ¿qué representan realmente esos símbolos?

  • |0⟩ y |1⟩ no son números en el sentido habitual. Son estados básicos, puntos de referencia a partir de los cuales se describen todos los demás.
  • Un estado general del qubit se expresa como una combinación de esos estados básicos.
  • Esa combinación no dice “qué saldrá”, sino qué podría salir y de qué manera.
Estado cuántico en notación de Dirac
El qubit no está “en 0” o “en 1”, sino descrito como una combinación de ambos estados básicos, donde alpha (α) y beta (β) indican cómo está preparada cada posibilidad antes de medir.

La notación es extraña solo porque la realidad que describe también lo es, al menos comparada con nuestra intuición clásica.

Imagina que intentas describir una melodía diciendo solo: “es una nota” o “es otra nota”. No funcionaría. Necesitas hablar de mezclas de sonidos, intensidades, relaciones.

La notación cuántica cumple ese mismo papel: no describe una nota suelta, sino la estructura completa de la melodía antes de escucharla.

Empecemos por la idea importante

Antes de hablar de símbolos, letras raras o fórmulas, conviene dejar clara la idea fundamental. Si esta parte se entiende, todo lo demás encaja con mucha más facilidad.

La idea es esta: Un qubit no se describe por lo que vale, sino por cómo puede comportarse cuando lo midamos.

Y esto marca una diferencia enorme con la computación clásica.

En el mundo clásico: estados definidos

Un bit clásico siempre está en uno de estos estados: 0 ó 1.

No hay duda, no hay matices. Si miras el bit, simplemente lees el valor que ya tenía.

Describir un bit es fácil porque su estado es algo cerrado y definitivo.

En el mundo cuántico: estados abiertos

Con un qubit ocurre algo radicalmente distinto.

Antes de medirlo no está “en 0” ni está “en 1”. Al menos, no de la forma en que estamos acostumbrados a pensar.

Está en un estado cuántico que contiene información sobre todas las posibilidades relevantes y sobre cómo se relacionan entre sí.

Cuando medimos, obtenemos un resultado concreto. Pero ese resultado no existía como tal antes de la medición.

Lo que existía era el estado.

La clave mental

Aquí es donde mucha gente se pierde, así que merece la pena insistir:

  • La computación cuántica no trabaja con resultados
  • Trabaja con estados que evolucionan

El estado se prepara, se transforma, se combina con otros, y solo al final se mide.

Por eso, describir correctamente ese estado es esencial. Y por eso necesitamos una notación específica para hacerlo.

Imagina que tienes una moneda:

  • En computación clásica, la moneda está cara o cruz, incluso aunque esté boca abajo.
  • En computación cuántica, antes de mirar, la moneda no tiene un resultado definido, pero sí tiene una forma concreta de comportarse cuando la mires.

Describir el qubit no es decir “saldrá cara” o “saldrá cruz”. Es describir cómo está preparada la moneda antes de mirar.

Por qué esta idea viene antes que la notación

Si empiezas por los símbolos, todo parece arbitrario. Si empiezas por esta idea, la notación deja de ser un capricho.

La notación cuántica existe para responder a una necesidad muy concreta: ¿Cómo describimos, de forma precisa, un sistema que todavía no ha decidido su resultado?

Eso es lo que hace el estado cuántico. Y eso es lo que vamos a empezar a desmenuzar paso a paso a partir de ahora.

Qué es un estado cuántico

Una vez tenemos clara la idea importante, podemos ponerle nombre a lo que llevamos describiendo todo el rato: eso que “no es todavía un resultado”, pero contiene toda la información relevante, se llama estado cuántico.

Y aunque el término suene técnico, la idea es sorprendentemente intuitiva.

No es un valor, es una descripción completa

Un estado cuántico no dice “el qubit vale 0” o “el qubit vale 1”. Dice algo mucho más amplio: “Así es como se comporta este sistema antes de medirlo.”

Incluye, entre otras cosas, qué resultados son posibles, con qué peso aparece cada uno, y cómo pueden cambiar esos pesos si hacemos algo con el qubit.

Por eso se habla de “describir completamente” el qubit. No porque sepamos el resultado, sino porque sabemos todo lo que se puede saber antes de medir.

Pensarlo como una preparación

Una forma útil de entender un estado cuántico es verlo como una preparación.

Dos qubits pueden dar el mismo resultado al medirlos… y sin embargo haber estado en estados cuánticos distintos antes de la medición.

Estado cuántico de superposición
Estádo cuántico
Estados cuánticos diferentes que darán el mismo resultado al medir
Dos qubits con diferente estado que darán el mismo resultado al medirlos. En Z, ambos dan 0 y 1 con probabilidad 1/2.

El estado no describe el número que sale, sino cómo estaba preparado el sistema para que ese resultado apareciera.

Qué información guarda realmente el estado

Sin entrar en matemáticas, podemos decir que el estado cuántico guarda:

  • Las posibilidades (por ejemplo, obtener 0 u obtener 1)
  • La importancia relativa de cada posibilidad
  • La relación entre ellas, que permite que el estado evolucione de formas que no existen en lo clásico

Esa última parte es clave. No es solo “una mezcla”, es una mezcla estructurada, con reglas propias.

Por qué no basta con hablar de probabilidades

A veces se dice: “Un qubit es como un bit con probabilidades.”

Eso ayuda… pero se queda corto.

Las probabilidades son lo que vemos al final, cuando medimos. El estado cuántico es lo que existe antes, y contiene más información de la que una simple tabla de porcentajes puede reflejar.

Dos estados distintos pueden producir las mismas probabilidades al medir, pero comportarse de manera distinta si aplicamos una operación antes.

Eso es algo que solo se puede entender hablando de estados, no sólo de resultados.

Imagina una receta de cocina.

  • El plato final es el resultado.
  • La receta es la preparación: ingredientes, proporciones, orden.

Dos recetas distintas pueden acabar en platos muy parecidos… pero reaccionan de forma distinta si cambias un ingrediente o el tiempo de cocción.

El estado cuántico es esa “receta” del qubit.

Por qué se necesita una notación especial

Llegados a este punto, la pregunta es inevitable: si ya tenemos clara la idea de estado cuántico… ¿por qué no describirlo con palabras normales o con las herramientas de siempre?

La respuesta es que, en cuanto intentamos trabajar en serio con qubits, el lenguaje habitual se queda corto.

El problema de la ambigüedad

Las palabras son excelentes para explicar ideas, pero malas para trabajar con precisión.

Decir cosas como: “un poco de 0 y un poco de 1”, “una mezcla equilibrada”, “más parecido a 0 que a 1”, puede servir para hacerse una idea general, pero deja demasiadas preguntas abiertas: ¿cuánto es “un poco”?, ¿qué pasa si aplicamos una operación?, ¿cómo sabemos si dos estados son realmente iguales?

En computación cuántica, esas diferencias importan mucho.

No basta con describir: hay que operar

Aquí está la clave: la notación cuántica no solo sirve para describir estados, sirve para trabajar con ellos.

Con un qubit no solo observamos. Lo preparamos, lo transformamos, lo combinamos con otros, y solo al final lo medimos.

Cada uno de esos pasos cambia el estado de forma muy concreta. Para poder seguir esos cambios sin perder información, necesitamos un lenguaje preciso y consistente.

Estados que se parecen… pero no son iguales

Otra razón importante es que en el mundo cuántico hay estados que producen los mismos resultados al medir, pero se comportan de manera distinta si los manipulamos antes.

Desde fuera parecen iguales. Desde dentro, no lo son.

Una notación informal no permite distinguir estos casos. La notación especial sí.

Un lenguaje pensado para sistemas “extraños”

Los qubits no siguen las reglas habituales de suma, comparación o copia. Se combinan, interfieren y evolucionan de formas que no existen en la computación clásica.

La notación cuántica está diseñada a medida de ese comportamiento. No es una adaptación forzada del lenguaje clásico, sino un lenguaje nuevo para un tipo de sistema nuevo.

Compacta, precisa y sin rodeos

Aunque al principio intimida, esta notación tiene tres ventajas enormes:

  • Es compacta: expresa mucha información con muy pocos símbolos.
  • Es precisa: no deja lugar a interpretaciones ambiguas.
  • Es operativa: permite calcular y razonar sin explicaciones largas.

Lo que con palabras ocuparía un párrafo, con la notación cuántica cabe en una línea.

Imagina intentar programar solo con frases, sin código. Podrías explicar la idea general… pero sería imposible construir un programa real.

La notación cuántica es al estado cuántico lo que el código es al algoritmo.

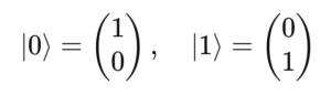
Qué significa |0⟩ y |1⟩

Este es, probablemente, el primer símbolo que todo el mundo reconoce cuando se habla de computación cuántica. Y también uno de los que más malentendidos genera.

Porque aunque se parezcan mucho a los números 0 y 1 de toda la vida, |0⟩ y |1⟩ no son números.

No son valores, son estados

En computación clásica, el 0 y el 1 son valores concretos. Un bit vale 0 o vale 1.

En computación cuántica, |0⟩ y |1⟩ son etiquetas que nombran dos estados básicos posibles del qubit.

Estados cuánticos |0⟩ y |1⟩

No indican un resultado, sino una forma de estar del sistema.

Dicho de otro modo: 0 y 1 son respuestas. |0⟩ y |1⟩ son situaciones.

Estado cuántico |0⟩
Qubit en estado |0⟩
Estado cuántico |1⟩
Qubit en estado |1⟩

Estados de referencia

Estos dos estados tienen un papel muy especial: son los estados de referencia a partir de los cuales se describen todos los demás.

Cualquier estado de un qubit puede entenderse como una combinación de |0⟩ y |1⟩.

No porque el qubit “esté un poco en uno y un poco en otro” de forma vaga, sino porque esos dos estados forman el marco básico de descripción.

Qué pasa al medir

Cuando medimos un qubit, el resultado que obtenemos es clásico: 0 ó 1.

Lo que hacemos al medir es comprobar si el estado cuántico coincide con |0⟩ o con |1⟩.

Por eso estos estados están tan ligados a la medición: son los resultados posibles del experimento.

El símbolo importa

La barra vertical (|) y el símbolo angular (⟩) no están ahí por estética. Indican que no estamos hablando de un número, ni de un valor lógico, sino de un estado cuántico completo.

Es una forma visual de recordarnos que estamos en otro tipo de lenguaje.

Piensa en un interruptor de la luz: “encendido” y “apagado” son resultados observables. “Posición del interruptor” es el estado del sistema.

|0⟩ y |1⟩ serían esas posiciones básicas del interruptor, no el hecho de que la luz esté ya encendida o apagada.

Decir que un qubit “está en |0⟩” tiene sentido. Significa que su estado cuántico coincide exactamente con uno de esos estados básicos.

Pero eso no es lo habitual. Lo habitual es que el qubit esté en un estado distinto, que se describe usando |0⟩ y |1⟩ como base.

El estado general de un qubit

Una vez sabemos qué son |0⟩ y |1⟩, el siguiente paso es natural: ¿qué aspecto tiene un qubit que no está exactamente en uno de esos estados?

La respuesta es la idea central de toda la computación cuántica.

No está en uno u otro, está descrito a partir de ambos

La mayor parte del tiempo, un qubit no está exactamente en |0⟩ ni exactamente en |1⟩.

Su estado se describe como una combinación de esos dos estados básicos.

Eso no significa que “salga medio 0 y medio 1”, ni que el qubit esté indeciso o confuso.

Significa que su estado contiene información sobre ambas posibilidades a la vez.

Pensarlo como una receta, no como un resultado

Una forma útil de entenderlo es esta:

  • |0⟩ y |1⟩ son los ingredientes básicos.
  • El estado general es la receta que indica en qué proporción y de qué forma se combinan.

La receta no es el plato final. Es la preparación previa que determina qué puede pasar después.

Qué nos dice realmente esa combinación

Esa combinación codifica qué resultados son posibles al medir, con qué frecuencia aparecerán, y cómo puede cambiar el estado si aplicamos una operación cuántica.

Dos qubits pueden dar exactamente las mismas probabilidades al medir… y sin embargo estar en estados distintos porque la combinación interna es diferente.

Ese detalle es invisible desde fuera, pero crucial cuando trabajamos con el qubit.

Por qué no es una simple mezcla

Aquí es importante evitar un error común.

No es como mezclar bolas blancas y negras en una bolsa y sacar una al azar. En ese caso, el sistema ya ha decidido cuántas bolas hay de cada tipo.

En un qubit, la combinación forma parte del propio estado, y puede producir efectos que no existen en las mezclas clásicas, como reforzar o cancelar posibilidades cuando aplicamos operaciones.

Imagina una flecha que puede apuntar en distintas direcciones:

  • Apuntar exactamente hacia arriba sería |0⟩.
  • Apuntar exactamente hacia abajo sería |1⟩.
  • Cualquier otra dirección intermedia representa un estado general.

No es que la flecha “tenga un poco de arriba y un poco de abajo”. Es que su orientación completa define cómo se comportará cuando la mires desde arriba.

Qué ocurre al medir

Cuando finalmente medimos el qubit obtenemos 0 ó 1, según cómo estuviera preparada esa combinación.

El estado general desaparece en ese momento. La medición nos da un resultado clásico y se acaba la historia.

Pero todo el cálculo cuántico ocurre antes, mientras el qubit está en ese estado general.

Qué es un “ket” y qué es un “bra”

Llegados aquí, ya hemos visto aparecer varias veces un símbolo muy concreto: esa barra vertical acompañada de un símbolo angular apuntando a la derecha, como |0⟩ o |ψ⟩.

A eso se le llama ket. Y, como suele pasar en computación cuántica, viene acompañado de su “pareja”: el bra.

Vamos a verlo sin fórmulas y sin sustos.

El ket: “así está el sistema”

Un ket es simplemente una forma compacta de decir: “Este es el estado del sistema.”

Cuando escribimos: |0⟩, |1⟩, |ψ⟩, … estamos señalando el estado cuántico tal como es, con toda la información que contiene.

El ket es la descripción del qubit desde dentro, por decirlo de alguna manera. Es “cómo está preparado”.

El bra: “qué estoy preguntando”

El bra es el símbolo complementario. Se escribe parecido, pero al revés, por ejemplo ⟨0| o ⟨ψ|.

Y su papel es distinto. Un bra no describe un estado, describe una pregunta que le hacemos al sistema.

Es una herramienta para comparar, comprobar o medir.

Una forma muy intuitiva de verlo

Piensa en esto así:

  • El ket es el estado que tienes.
  • El bra es la pregunta que haces sobre ese estado.

Cuando combinas un bra con un ket, estás preguntando algo muy concreto: “¿En qué medida este estado se parece a este otro?”

No es una metáfora poética. Es exactamente la función que cumple esa combinación.

Por qué hacen falta los dos

Si solo tuviéramos kets, podríamos describir estados, pero no podríamos extraer información de ellos de forma sistemática.

El bra permite calcular probabilidades, comparar estados, comprobar si un estado está bien definido. Es la parte “operativa” del lenguaje.

Imagina una llave y una cerradura:

  • El ket sería la forma concreta de la llave.
  • El bra sería la forma de la cerradura.

Cuando intentas encajarlas, descubres si son compatibles y en qué grado.

No estás cambiando la llave, estás comprobando algo sobre ella.

No hace falta memorizar reglas abstractas para entender esto ahora mismo.

Quédate solo con esta idea:

  • Ket: describe el estado.
  • Bra: sirve para preguntar o comparar.

Todo lo demás se construye encima de esa intuición.

Qué significa algo como ⟨ψ|ψ⟩

Después de entender qué es un ket y qué es un bra, es normal que aparezca una expresión que desconcierta a cualquiera la primera vez que la ve: ⟨ψ|ψ⟩

A simple vista parece una fórmula críptica, casi redundante. Pero en realidad expresa una idea muy sencilla y muy importante.

Recuerda la intuición básica:

  • |ψ⟩ describe el estado del sistema.
  • ⟨ψ| es una pregunta que le hacemos a ese estado.

Entonces ⟨ψ|ψ⟩ se puede leer así: “¿En qué medida el estado ψ coincide consigo mismo?”

No estamos calculando nada exótico. Estamos comprobando si el estado está bien definido.

Qué tipo de información da

El resultado de ⟨ψ|ψ⟩ es un número que nos dice algo muy concreto:

  • Si el estado tiene sentido físico
  • Si las posibilidades que describe están bien equilibradas
  • Si todo está “en orden”

En la práctica, este valor sirve como un chequeo de coherencia del estado.

La idea de “normalización”

Aquí aparece una palabra importante, pero fácil de entender: normalización.

Un estado cuántico bien definido tiene que cumplir que: la suma total de todas sus posibilidades sea coherente. ⟨ψ|ψ⟩ es la forma compacta de comprobar eso.

Bra-ket
Probabilidades
La suma de todas las posibilidades del qubit debe ser coherente: el “peso total” del estado es 1, lo que garantiza que las probabilidades al medir tengan sentido.

No es una probabilidad concreta, pero está directamente relacionada con que las probabilidades que obtendremos al medir tengan sentido.

Imagina que repartes una cantidad fija de dinero en varios sobres.

Puedes repartirlo como quieras, pero la suma total tiene que cuadrar con el dinero que tenías al principio.

⟨ψ|ψ⟩ es como comprobar que todos los sobres juntos contienen exactamente ese total.

Si sobra o falta, algo está mal en la descripción.

Por qué se usa el mismo símbolo dos veces

A mucha gente le chirría ver ψ dos veces. Pero tiene todo el sentido:

  • El ket |ψ⟩ es el estado que estamos describiendo
  • El bra ⟨ψ| es la referencia con la que lo comparamos.

Compararlo consigo mismo es la forma más directa de verificar que el estado es consistente.

Por qué no hay que memorizar símbolos

Llegados a este punto, puede aparecer una sensación bastante común: “Esto son demasiados símbolos… tengo que aprenderlos de memoria.”

Y aquí conviene frenar en seco, porque esa es la peor forma de acercarse a la notación cuántica.

El problema de memorizar sin entender

Memorizar símbolos sueltos puede servir para pasar un examen, pero en computación cuántica suele llevar a confusión.

Si ves |ψ⟩, ⟨ψ| o ⟨ψ|ψ⟩ como dibujos que hay que recordar, la notación parece arbitraria y pesada. Pero no lo es.

Cada símbolo existe porque cumple una función muy concreta.

Una buena forma de verlo es esta: la notación cuántica no son símbolos aislados, es un lenguaje. Y como con cualquier lenguaje no se aprende memorizando letras, se aprende entendiendo qué significan las frases.

Cuando sabes que un ket describe un estado, un bra formula una pregunta, y juntar ambos da una respuesta, los símbolos dejan de ser un obstáculo y pasan a ser una ayuda.

El error típico de principiante

Uno de los errores más comunes es intentar traducir todo a números clásicos: pensar que |0⟩ es “el número 0”, que |ψ⟩ es “una variable”, que ⟨ψ|ψ⟩ es “una multiplicación rara”.

Eso obliga a memorizar reglas artificiales… y hace que todo parezca más complicado de lo que es.

En lugar de memorizar cómo se escribe algo, conviene preguntarse:

  • ¿Esto describe un estado o una pregunta?
  • ¿Estoy comparando o estoy preparando?
  • ¿Estoy antes o después de medir?

Si sabes responder a eso, la notación casi se escribe sola.

Nadie aprende a programar memorizando símbolos como if, {} o ;.

Se aprende entendiendo qué es una condición, qué es un bloque, qué significa ejecutar algo. Después, los símbolos dejan de molestar.

Con la notación cuántica pasa exactamente lo mismo.

El objetivo de este lenguaje no es que recuerdes símbolos raros, sino que puedas razonar correctamente sobre estados cuánticos.

Cuando eso ocurre los símbolos se vuelven familiares, el miedo desaparece, y la notación empieza a resultar incluso elegante.

Conclusión final

Después de recorrer estados, kets, bras y símbolos que al principio intimidan, conviene parar un momento y destilar la idea esencial. Si todo lo anterior se olvida menos una cosa, debería ser esta.

No estamos describiendo números, estamos describiendo comportamientos

La notación cuántica no sirve para decir “cuánto vale” un qubit, sino para describir cómo se comporta antes de medirlo.

Un qubit no es un 0 raro ni un 1 sofisticado. Es un sistema físico cuyo estado puede combinar posibilidades, puede transformarse, y solo se convierte en un número cuando lo medimos.

Todo el lenguaje que hemos visto existe para hablar de eso.

El estado es lo fundamental

En computación cuántica el protagonista no es el resultado, ni siquiera la medición, es el estado cuántico.

El cálculo cuántico consiste en preparar un estado, transformarlo cuidadosamente, medir al final.

Si entiendes esto, entiendes la lógica interna de la computación cuántica.

Los símbolos no son el objetivo

Los símbolos |ψ⟩, ⟨ψ| y ⟨ψ|ψ⟩  no son un fin en sí mismos.

Son una forma compacta de expresar ideas muy claras: “este es el estado”,“esta es la pregunta”, “esta es la coherencia del sistema”.

Cuando se entienden así, dejan de parecer misteriosos.

Una buena regla mental es esta: Si un símbolo no tiene sentido para ti, no es porque sea difícil, sino porque aún no lo has traducido a una idea física o conceptual.

Haz esa traducción, y el símbolo se vuelve transparente.

La notación cuántica no complica la computación cuántica. La hace posible.

Permite describir, sin ambigüedades, sistemas que no encajan en el lenguaje clásico.

Si te quedas con una sola frase de todo el artículo, que sea esta: En computación cuántica no calculamos valores, evolucionamos estados.